電話:13570151199
傳真:020-39972520
郵箱:hanyan@hanyancarbon.com
地址:廣東省廣州市番禺區東環街番禺大道北555號天安總部中心30號樓6層
橄欖油廢水中酚類化合物處理由大多都由活性炭來吸附,本期帶大家了解活性炭的吸附劑量和溫度的影響。在最佳條件下(每100毫升8克活性炭),每克活性炭表示當量mg的活性炭的最大吸附容量為10.8℃時為35.8℃,25℃為35.4℃,40℃時為36.1℃ C。偽二階模型被認為是最適合于動力學結果,并且選擇Langmuir等溫線來更好地描述吸附系統。結果證實了活性炭從橄欖油流出物中幾乎除去所有酚類化合物部分的效率。
橄欖油行業產生巨大的環境影響的廢物。作為主要的橄欖油提取殘留物之一的橄欖油廢水是含有痕量橄欖漿,果膠和油的酸性液體(pH = 5-5.5)。此外,據報道有機物質,特別是多酚的存在與這種廢物對土壤,水生和空氣生態系統的負面影響有關。已知大量酚類化合物,游離脂肪酸和無機鹽是橄欖油廢水的高植物毒性和生物降解性差的主要原因。因此,越來越重視找到合適的方法來控制這種污染物。后來發現用活性炭可以很好的控制有機物的污染。

近來,大范圍的使用活性炭來用于去除水性有機物質。活性炭對于較低分子量的有機化合物如酚類具有完美的吸附能力。在活性炭上的吸附是其中物質在兩相之間的界面處積累的物理或化學過程。活性炭通過分子與微孔或介孔的壁的吸引相互作用來吸附物質。活性炭已經被用作有效的吸附劑,用于除臭,溶劑回收,脫色,脫氯,臭氧湮滅,H 2 S / CS 2去除,黃金回收,過濾,燃氣凈化,工業廢水處理,飲用水凈化等。。雖然已經報道了關于從活性炭水溶液中吸附酚類化合物的內容,但是多組分溶液吸附的特性很少有人關注。多酚作為生物活性化合物的重要性促使我們通過吸附到活性炭上從廢水中回收多酚,因為通過解吸有機化合物再生吸附劑的過程對于目前的研究構成了一個重要的問題,因為它們對吸附劑具有高親和力表面。幾種技術,如化學降解和超聲已被用于從活性炭解吸酚。NaOH溶液被證明是有效的通過形成苯酚鈉鹽從活性炭回收吸附的酚類物質,這可以促進解吸。不同的因素影響吸附能力,如吸附劑孔隙結構的物理性質,官能團,被吸附物的性質,分子量,大小和溶液條件(pH和離子強度)。表面電荷與pH的變化可影響酚類的可逆和不可逆吸收。這可能是由于酚類化合物隨著pH降低而增加的活性,并且對于可溶性攝取的影響在化合物pH值遠低于溶質p K a時應該是最小的。可以從不可逆吸附的依賴性得出結論:酚類化合物的氧化偶聯在堿性下比在酸性介質中更容易。
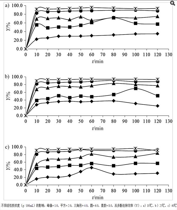
活性炭濃度與溫度的影響
所用活性炭的濃度是控制吸附的重要因素。眾所周知,溫度是影響任何吸附過程的附加因素。因此,在三個不同的溫度,室溫(25℃),高于(40℃)和波紋管(10℃)下進行測試。為了觀察溫度和吸附劑量對多酚吸附的同時影響,吸附劑濃度從1至8g / 100mL變化。使用相同數量的廢水(25mL)和恒定的酚濃度(3.0mg / mL)進行不同的測試,但改變活性炭的量(0.25、0.5、1.0、1.5和2.0g)。在圖中可以觀察到不同溫度下的吸附趨勢。

在每個測量溫度下,吸附量(q e)隨著活性炭濃度的增加而降低。在較高濃度的活性炭(8 g / 100mL)下,表面活性位點與吸附物質分子的飽和度不會導致更多的顯著吸附。將初始酚濃度為0.01g / L的廢水中的活性炭濃度從0.02增加到0.14g,導致5%的增加在苯酚的吸附中。在活性炭濃度為8g / 100mL時,在不同的施加溫度下沒有觀察到明顯的變化,例如在10,25和40℃下的吸附容量分別為35.8,35.4和36.1mg / g。酚類對顆粒活性炭的吸附能力隨著溫度的降低而增加。
使用不同濃度的活性炭(1、2、4、6和8g / 100mL)和溫度(10,25和45℃)進行批次吸附試驗,用于從橄欖磨廢水中除去酚類化合物。在最佳條件下(8g活性炭/ 100mL),活性炭的最大吸附容量在10℃為35.8mg / g,25℃為35.4mg / g,在40℃為36.1mg / g。通過Langmuir等溫線在三個不同的溫度下令人滿意地擬合了總多酚吸附的平衡數據。偽二階模型(R 2 > 0.9204)與偽一階模型(R 2<0.8750)相比更好地解釋了吸附動力學。該研究的結果表明,活性炭可以有效地用作從橄欖油工業廢水中去除酚類化合物的吸附劑。預處理廢水作為生物乙醇生產的清潔底物具有潛力,并在環境和經濟方面得到額外的好處。此外,吸附的酚類化合物可以在食品,化妝品工業中回收和純化后使用。
文章標簽:椰殼活性炭,果殼活性炭,煤質活性炭,木質活性炭,蜂窩活性炭,凈水活性炭.推薦資訊
- 2025-10-10活性炭金屬改性對氫的吸附
- 2025-09-29活性炭吸附有機微污染物
- 2025-09-17活性炭去除對羥基苯甲醚
- 2025-09-09活性炭從水溶液中吸附苯酚
- 2025-08-27活性炭從水溶液中分離甲乙酮
- 2025-08-19活性炭對鈷離子的吸附與去除
- 2025-07-30活性炭用于強汞的去除
- 2025-07-23活性炭超聲輔助吸附黃金
- 2025-07-16活性炭載二氧化鈦協同去除二氯甲烷
- 2025-07-09活性炭從水中吸附脂多糖
- 2025-07-03活性炭凈化銅污染的生物柴油
- 2025-06-25活性炭從水中去除聚氯乙烯微塑料
