電話:13570151199
傳真:020-39972520
郵箱:hanyan@hanyancarbon.com
地址:廣東省廣州市番禺區東環街番禺大道北555號天安總部中心30號樓6層
活性炭吸附酸性水中的砷
作為地殼中第20位元素,砷存在于不少于245種礦物中。這些礦物中最常見的是毒砂,這種礦物通常與高金礦床一起發現,氧化時會產生砷和硫氧化酸。在采礦過程中,當含硫化物材料暴露于大氣中的水和氧氣時,砷會釋放到酸性礦山排水中。本重點研究生活性炭的使用以及活性炭表面的改性,以去除酸性水中的砷(III)和砷(V)。這項工作描述了一種活性炭的高效吸附劑的新穎開發,其在砷物質環境修復中的應用,特別是砷在改性活性炭表面吸附的機制。
活性炭對As(V)吸附比較
為了比較各種活性炭吸附砷(V)的效果,將0.1克活性炭添加到50mL/50ppm砷(V)樣品中。將樣品以150rpm攪拌6小時,然后過濾,然后對濾液進行元素分析。為了比較不同活性炭基質的功效,以每克活性炭吸附的砷(V)毫克數(mg/g)來比較相對于添加的活性炭量的吸附。如圖所示數字圖1,與鐵、錳和鐵/錳一起官能化后,砷的吸附有顯著改善。

圖1:比較各種活性炭,研究暴露6小時后砷(V)的吸附效率。
與未改性的活性炭相比,所有金屬改性的活性炭都顯示出對砷(V)的吸附增加。負載單一金屬的活性炭對負載鐵和負載錳的活性炭的吸附量分別為4.86±0.17和6.02±0.16mg/g,而未改性的標準活性炭的吸附量為2.08±0.11mg/g。通過在表面負載鐵和錳的組合,吸附效率更加顯著提高,砷吸附量達到12.88±0.58mg/g。活性炭在用鐵錳混合物功能化后也進行了測試。觀察到吸附能力從8.46±0.34mg/g提高到15.55±1.09mg/g。這樣做是為了證明表面功能化在吸附中起著關鍵作用,并且即使以降低比表面積為代價,也可以通過表面功能化的改性來提高高表面積材料的吸附能力。
金屬改性活性炭砷吸附前后的XPS表征
鐵錳改性活性炭砷吸附前后的Fe2p3/2、Mn2p3/2和As2p3/2XPS峰信號的解卷積、物種分配和總峰面積百分比中。請注意,Fe2O3、Fe3O42+、Fe3O43+、FeOOH、MnO、MnOOH和MnO2物種的識別因這些鐵和錳的眾所周知的XPS多重分裂而變得更加復雜物種。26-28FeMn負載的活性炭砷吸附后的Fe2p、Mn2p和As2p解卷積的XPS譜如圖2所示作為每個活性炭樣品的相關峰去卷積的示例。

圖2:負載FeMn的活性炭、As曝光后的Fe(左上)、Mn(右上)和As(底部)XPS峰的解卷積。
在負載金屬的活性炭中觀察到的砷吸附增加的一種可能的解釋是砷化物的形成。如果砷化物的形成是吸附增加的原因,則砷2p3/2峰的XPS光譜將顯示砷化物的BE為1322.9eV。由于該區域不存在峰,因此不會形成砷化物,并且在經過Fe、Mn和FeMn處理的活性炭中觀察到的砷吸附增強一定是通過不同的機制實現的。根據我們對砷暴露前和后的含鐵和錳負載的活性炭樣品的表征,我們得出結論,可能會發生氧化/還原反應。這與XPS結果一致,特別是對于砷2p3/2峰,表明存在于活性炭材料表面的砷物質被還原為砷(III)。
活性炭的吸附機制
鐵基砷吸附以觀察到預吸附砷的FeMn活性炭表面的鐵物質主要是Fe2O3和FeOOH物質,分別占鐵物質的32%和53%。接觸砷后,這些百分比顯著變為1.7%Fe2O3和82%FeOOH。pH3.0溶液中砷(V)的形態已知為H2AsO4–,吸附后As2p3/2峰的XPS顯示,砷(V)在吸附過程中顯著還原為砷(III)。吸附過程。
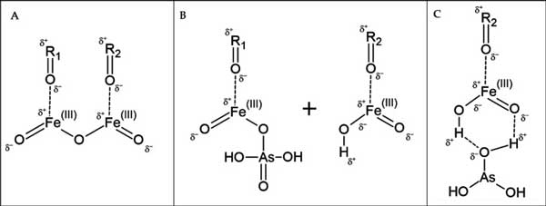
在功能化過程中,鐵被負載到活性炭表面,并通過偶極-偶極分子間力物理吸附到表面,如圖3A所示,其中R代表活性炭。鐵的高度親氧特性是砷的帶負電的氧形成鐵-氧化物鍵的理想表面,將Fe2O3物質分解成FeOO–可以水解為FeOOH和砷的中間物質和鐵通過共享的氧結合,如圖3B所示。這種中間體會被活性炭中的電子快速分解,使用鐵作為導體,電子可以自由地流向砷,并將砷物質從砷(V)還原為砷(III)。在這種情況下,鐵僅充當電子流動的通道,而活性炭本身則充當還原劑。這是根據鐵的XPS形態得知的,其中Fe(III)仍為Fe(III),表明它不是充當還原劑,而是充當電子到達砷的穿梭機。在此還原過程中,砷的化學鍵將從鐵物質上的共享氧中斷裂,并且還原的砷(III)物質將通過氫鍵物理吸附到活性炭的載鐵表面,如觀察到的在圖3C。

圖3:(A)顯示物理吸附到活性炭表面的鐵。(B)顯示了由于暴露于砷而形成的兩種鐵產物FeOOH和中間體FeO–O–AsH2O3。(C)顯示了還原的As(III),這是電子從活性炭流過鐵的結果,通過氫鍵物理吸附到載鐵表面。
錳改性活性炭的吸附機制
在XPS結果可以觀察到MnO物質顯著減少,從吸附前的27%減少到暴露后的15%。MnO物質的減少導致活性炭上存在的MnOOH和MnO2物質的增加。與鐵基砷吸附類似,在活性炭功能化過程中,MnO通過偶極-偶極相互作用物理吸附到活性炭表面。與鐵不同,對于錳,可以觀察到兩種不同的過程。第一個過程是將錳(II)氧化為錳(III)。在此過程中,砷從兩個不同的錳分子中奪取一個電子,如氧化還原反應。該反應將使用錳作為還原劑將砷(V)還原為砷(III),砷(III)將通過氫鍵與在此過程中形成的MnOOH物質發生物理吸附,如在數字圖4A。

圖4:(A)顯示反應(1)的產物,其中MnO被氧化為MnOOH。(B)顯示反應(2)的產物,其中MnO被氧化成MnO2。As(III)通過氫鍵物理吸附到負載Mn的表面。
與上面提出的鐵基吸附不同,活性炭不參與吸附的氧化還原過程,如在鐵基吸附中觀察到的那樣。在這種情況下,活性炭提供了一個重要的表面,化學反應可以在該表面上發生,以便砷可以被吸附并從溶液中去除。
活性炭對砷的吸附動力學
砷(V)動力學曲線使用負載金屬的活性炭、標準活性炭和商業活性炭對砷(V)的吸附動力學進行了評估,結果顯示在圖5。對于每種碳材料,砷(V)的吸附在6小時后達到平衡。標準活性炭顯示出最低的吸附容量,6小時后達到總可能吸附量的8.13±0.16%。負載鐵的活性炭和負載錳的活性炭均表現出比標準活性炭更高的吸附容量,表明表面的金屬負載確實提高了活性炭的吸附容量。負載鐵和負載錳的活性炭在短攪拌時間和長攪拌時間下對砷的吸附均比標準活性炭有顯著改善,6小時后分別達到19.90±0.71和23.21±0.23%。

圖5:所研究的各種活性炭的As(V)吸附動力學曲線。砷吸附以吸附百分比給出,最大吸附(即100%)為25mg/g。
復合鐵錳活性炭顯示出最高的吸附容量,6小時后的吸附量達到總吸附量的50.93±1.17%。這表明比標準活性炭和單金屬負載活性炭都有顯著改進。鐵錳負載活性炭的二元系統協同工作,在吸附過程中利用了上述所有吸附機制,使得吸附容量比單金屬負載活性炭材料增加更多。
活性炭吸附酸性水中的砷,使用金屬摻雜活性炭吸附砷(V)和砷(III)。活性炭的金屬負載導致砷的吸附能力顯著增加,超過了基準商業活性炭。根據表面積和微孔率歸一化的吸附能力比較表明,活性炭表面的功能性是比高表面積或大微孔率更重要的吸附因素。二元鐵錳負載活性炭對砷的吸附遠遠超過其他研究的活性炭。活性炭的XPS顯示砷吸附后活性炭上存在的鐵和錳的形態發生顯著變化,從而得出砷通過氧化還原反應物理吸附到負載金屬的表面的結論。使用該方法生產的活性炭可有效吸附溶液中的砷物質,是使用活性炭去除水中砷污染的一種經濟有效的方法。
文章標簽:椰殼活性炭,果殼活性炭,煤質活性炭,木質活性炭,蜂窩活性炭,凈水活性炭.推薦資訊
- 2025-10-10活性炭金屬改性對氫的吸附
- 2025-09-29活性炭吸附有機微污染物
- 2025-09-17活性炭去除對羥基苯甲醚
- 2025-09-09活性炭從水溶液中吸附苯酚
- 2025-08-27活性炭從水溶液中分離甲乙酮
- 2025-08-19活性炭對鈷離子的吸附與去除
- 2025-07-30活性炭用于強汞的去除
- 2025-07-23活性炭超聲輔助吸附黃金
- 2025-07-16活性炭載二氧化鈦協同去除二氯甲烷
- 2025-07-09活性炭從水中吸附脂多糖
- 2025-07-03活性炭凈化銅污染的生物柴油
- 2025-06-25活性炭從水中去除聚氯乙烯微塑料
