電話:13570151199
傳真:020-39972520
郵箱:hanyan@hanyancarbon.com
地址:廣東省廣州市番禺區東環街番禺大道北555號天安總部中心30號樓6層
活性炭去除空氣中的有機溶劑蒸氣
很多地區的部分植物廢料沒有得到足夠有效的利用,這些植物廢料可用于能源生產和作為制造碳吸附劑的原料。本次研究的活性炭是從含碳量高的材料(包括廢物)中獲得的。各種木質纖維素和煤材料被用作計劃用于生產活性炭的原材料。它們經過熱處理(活化)和一些特定的條件下制成商業活性炭,能最大的利用了植物廢料的價值。并且對所獲得的活性炭吸附劑進行了評估,作為使用示例正丁醇從氣流中提取揮發性有機溶劑蒸氣的一種方法。
活性炭用于吸附有害成分,例如在煤或石油燃燒過程中形成的有害成分。這些吸附劑中通常存在大量微孔和比表面積,以及再生和循環使用的能力、化學惰性和相對安全性,這些都是非常必要和有用的特性,決定了它們的可制造性和廣泛的應用。我們以從其與空氣的混合物中提取正丁醇蒸氣為例,評估了化學法活性炭吸附劑作為溶劑回收技術試劑的能力。
活性炭對正丁醇的去除
根據多種測試獲得植物廢活性炭技術指標除中,活性炭1、2對于正丁醇的去除效果比較好,3、4、5對碘和苯的吸附能力非常好,盡管其余的活性炭具有良好的能力,但是為了和專用活性炭的吸附性能做比較,選擇了植物廢料活性炭1和2。為了比較評估使用通過上述化學活化從植物廢料中獲得的活性炭在幾乎相同的條件下從其VMA中提取揮發性有機溶劑蒸氣的可行性,以實驗室生產的正丁醇蒸汽和活性炭的使用為例,研究了這些過程的動力學和平衡。
實驗結果與討論
實驗發現即使在成分指標、技術特征和處理來自不同地理形成地點的相同類型廢物形式的原材料的條件下,活性炭吸附劑的產率和個體特性也很接近。根據現有的信息來源,它們并不總是與其最佳樣本相對應。下述實驗數據證實了這種情況。然而,它們具有不同的,并且在某些情況下具有高效率,可用于解決從工業排放物和排放物的有機雜質中凈化的廣泛問題。在植物廢物(a)中獲得的活性炭從其VMA中吸附正丁醇蒸氣的動力學曲線在圖1和圖2中進行了比較。

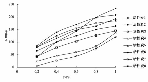
圖1:使用過的活性炭樣品在20℃時對來自VMA的正丁醇蒸氣的吸附動力學。
來自植物廢料的活性炭中,活性炭的K值表示吸附劑的吸收能力的最高值,活性炭2的最佳值是由于微孔體積大。表征煤與丁醇相互作用的能量的模型參數n是活性炭的最小參數。這對應于最凸的吸附等溫線(圖2),這有利于捕獲低濃度的丁醇蒸氣。就活性炭3而言,除活性炭4外,所有活性炭均優于活性炭5,與活性炭2相當。根據極限飽和值,由圖1和圖2中的動力學曲線證明。如圖1所示,繪制了相應的吸附等溫線(圖2)。

圖2:所表征的比較系統中的吸附平衡。
活性炭去除空氣中的有機溶劑蒸氣,在植物廢料的活性炭中,活性炭的吸附能力比較高,主要由于它的微孔體積大。經過表征與丁醇相互作用的能量的模型參數的比較。對應吸附等溫線,表示這有利于去除低濃度的丁醇蒸氣。
文章標簽:椰殼活性炭,果殼活性炭,煤質活性炭,木質活性炭,蜂窩活性炭,凈水活性炭.推薦資訊
- 2025-10-10活性炭金屬改性對氫的吸附
- 2025-09-29活性炭吸附有機微污染物
- 2025-09-17活性炭去除對羥基苯甲醚
- 2025-09-09活性炭從水溶液中吸附苯酚
- 2025-08-27活性炭從水溶液中分離甲乙酮
- 2025-08-19活性炭對鈷離子的吸附與去除
- 2025-07-30活性炭用于強汞的去除
- 2025-07-23活性炭超聲輔助吸附黃金
- 2025-07-16活性炭載二氧化鈦協同去除二氯甲烷
- 2025-07-09活性炭從水中吸附脂多糖
- 2025-07-03活性炭凈化銅污染的生物柴油
- 2025-06-25活性炭從水中去除聚氯乙烯微塑料
